Автоматизация расчёта штрафных санкций у покупателя
Неустойка (штраф, пеня) — определенная законом или договором денежная сумма, которую должник обязан уплатить кредитору в случае неисполнения или ненадлежащего исполнения обязательств, в частности в случае просрочки исполнения.
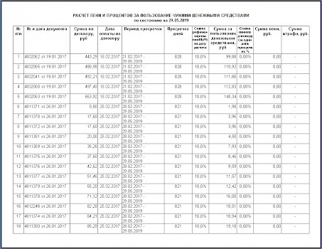
Когда покупатель нарушил условия договора, рассчитать сумму пени и подготовить досудебное уведомление в программе «Гедымин» теперь вы сможете автоматически. Такая возможность реализована новым документом «Расчет пени и процентов», который позволяет рассчитать и начислить пени исходя из суммы задолженности, ставки по договору, ставки рефинансирования и срока просрочки. На основании расчета формируется печатная форма детализации расчета и досудебное уведомление.
21.06.2019

